金屬(例如鋁、銅和銀)都是很好的電導體,原子周期性規則排列。原子外層電子(價電子)可以在材料中自由移動。由于原子的數量非常大,因此自由電子的數量更是龐大(通常在1023cm-3的量級),即使是非常小的電場都會導致很大的電子電流-因此,金屬總是呈現出很好的導電特性。
但是,絕緣體(例如二氧化硅)與導體的特性就完全個一樣。在絕緣體中,價電子在鄰近原子之間形成價鍵,從而被緊緊束縛在原子的周圍。因此,絕緣體中沒有可移動的自由電子,從而電導率非常低。
半導體(例如硅或者鍺)的導電特性介于導體和絕緣體之間。在極低溫時,價電子束縛在其原子周圍,形成規則的晶體。但是,隨著溫度升高,由于原予的熱擾動,一些價鍵斷裂,電子就會從斷裂的價鍵巾逃逸出來。這種電子具有導電能力。而且,每一個逃逸的電子將在價鍵處留下一個電荷缺陷(稱為空穴)。價鍵中的價電子如果與空穴鄰近,就很容易移動填入宅穴,在其原來的位置留下一個新的空穴。這種效應就像空穴從一個價鍵流向另一個位置。空穴的“移動。方向與價電子的移動方向相反,在電場中,空穴的行為就像一個正電荷。
對半導體來說,在室溫下導電是可能的。但是,熱運動產生的電子和空穴濃度都遠小于金屬中自由電子的濃度。通常情況,對于硅和鍺來說,每立方厘米中的載流子數典型值分別為1010和1013在下面的章節中,將主要分析目前的主流材料-硅。
在純凈的硅材料中添加額外的外來粒子(摻雜物)可以提高半導體中自由載流子的數量。硅(和鍺)具有四個價電子。如果摻雜物中的原子有五個價電子(例如砷、磷或者銻),將該材料摻雜進入半導體,這些雜質原子就會占據硅原子在晶格中的位置。因此,四個價電子都會參與形成四個價鍵,將原子與品格中臨近的原子綁在一起。外來雜質的第五個價電子沒有任何價鍵束縛,可以在材料中自由移動,但是,這個價電子也可能出現存任意價鍵中,從而脫離現有原子的束縛,成為自由電子。因此,這種雜質原子(也稱為施主原子,因為其增加了半導體中自由電子的數量)可以改變材料的電導特性。
在純凈的硅材料:1,添加儀有三個價電子的雜質原子也可以提高半導體的電導率。每個雜質原子將缺乏一個價鍵電了,因此,這種原子就可以產牛一個空穴。這些雜質(例如硼、鋁和鎵等)稱為受主原子,因為空穴會通過接受臨近半導體原子價鍵的價電子來實現移動,從而產生電流。
這樣,摻雜半導休將同時存在由于熱運動形成的載流子和施主(或者受主)原子。包含施主原子的材料同時具有自由電子和空穴,其電子數量多于空穴。這種半導體也稱為N型半導體,這里N表示“Negative”(負的)。包含受主原子的材料中,空穴為多數載流子,因此稱為P型半導體,這里P表示“Positive”(正的)。
半導體上藝也可以制造出同時包含不向類型鄰近區域的結構(圖2.1)。將兩種類型區域結合起來的表面區域稱為PN結。當PN結形成時,多數載流子(N型區域的多子為電子,P型區域的多子為空穴)的隨機熱運動將使電了從N型區域流向P型區域。反之,空穴將從P型區域流向N型區域。因此,這種隨機熱運動(稱為擴散)會使P型半導體積累負電荷,而N型半導體積累正電荷。這種效應在PN
結的接觸面附近最為顯著:在P型區域,帶負電的受主原子由于空穴的引入不再呈現電中性,而(N型區域)自由載流子個再圍繞在帶正電荷的施主離子附近。因此,在PN結的附近,形成了固定離子的偶極子層(圖2.2)。偶極子層會產牛一個與多數載流子擴散方向相反的電場E,會使熱運動產牛的少數載流子(P型區域中的電子和N型區域中的空穴)從一個區域流向另一個區域。因此,在短暫的瞬態變化后,PN結中載流子狀態達到平衡。四種不同的載流子將在半導體中流動:多數載流子將從一個區域擴散至另一個區域,與電場E無關,少數載流子將在電場E的作用卜流動。因為電場E的效應會補償多數載流子的數量,所以,在平衡狀態下,這些電流將相互抵消。
如果在半導休上:焊接導線,并施加電壓,其平衡狀態將被打破(圖2.3)。首先,假設電壓源的極性是使P型區域的電壓高于N型區域的電壓,那么在圖2.3中就是V>0。然后外加電壓將降低電場E,從而減小了電場E的束縛,增加了多數載流子在邊界上的擴散電流。即使電場E只有少量減小,例如V=0.8V,可以在電路中產生很大的多數載流子電流(例如I=lA)。因此,這種極性的電壓V就稱為正向電壓,而I也就稱為正向電流。
現在分析電壓極性相反的情況,即圖2.3中,V<0)。這樣外加電壓V將增強電場E,阻止多數載流子在區域問流動。如果V足夠大,多數載流子電流幾乎消失,只有少數載流子仍在流動(電子從P型區域流向N型區域,空穴從相反入向移動)。由于少數載流子的數量非常小,而且幾乎與外加電壓V無關,從而PN結的凈電流將非常小,基本保持恒定。這種情況下,V和I就分別稱為反向電壓和反向電流。利用圖2.3中所規定的參考方向,此時I


其中,Is表示二極管的反向飽和電流,由器件采用的材料特性以及器件幾何尺寸確定;電子電荷最q≈1.6X10-19C;玻爾茲曼常數R≈1.38X10-23J/K;T表示半導體的溫度,單位為開爾文,在室溫下(T=300K),RT/q≈26mV。Is通常都非常小,在10-9A量級,甚至可能更低。從而可以得出,當V>O時,電流丁隨著電壓的升高而呈指數關系增大,而當V<0,電流I≈一Is,其值非常小(圖2.4)。
N型區和P型區交界區域的特性是非常重要的。如前文所述,在該區域中,多數載流子是非常稀疏的,一些載流子流進該區域,而同時另一些被電場E推回到本身原來的區域。因此,交界區域含有固定的離子,使得P型區帶有負電,而N型區帶正電(圖2.3)。因此,這一區域稱為耗盡層,其寬度隨著電場E的增加而增大,即在反向偏置(正向偏置)狀態下,耗盡層寬度將增大(減?。?。


由于電場E的存在,當外加電壓為0時,耗盡區仍然會呈現偏置電壓ψ:(通常稱為內建電壓)。當外加電壓不為0時,PN結上總的電壓降應為ψi-V,通常情況下,ψi=0.5~1V。
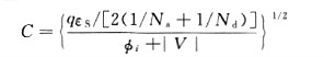
對于V


其中,εs≈1.04pF/cm表示硅的介電常數,εs≈εoKs,這里εo表示自由空間( FreeSpace)的介電常數(εo≈8.86X10-14F/cm);Ks≈ll.7表示硅的相對介電常數(有時為了簡單也稱為介電常數);Na(Nd)表示每立方厘米中受主原子(施主原子)的數量。
注意,電容C隨著電壓|v|的增大而不斷增大。
烜芯微專業制造二三極管,MOS管,20年,工廠直銷省20%,1500家電路電器生產企業選用,專業的工程師幫您穩定好每一批產品,如果您有遇到什么需要幫助解決的,可以點擊右邊的工程師,或者點擊銷售經理給您精準的報價以及產品介紹
烜芯微專業制造二三極管,MOS管,20年,工廠直銷省20%,1500家電路電器生產企業選用,專業的工程師幫您穩定好每一批產品,如果您有遇到什么需要幫助解決的,可以點擊右邊的工程師,或者點擊銷售經理給您精準的報價以及產品介紹

