rc充電時間計算圖解
理論計算:
有很多人的RC充放電時間約等于R*C;
完整的公式應該是:t/RC=-ln(Vs-Vc)/Vs.
t代表時間
R是電阻值,單位為歐姆
C為電容容值,單位是F
Vs為R端輸入的電壓。
Vc為需要上升的電壓。
通過公式,可以計算出一個10K電阻對1uF電容充電到4V需要的時間約為16ms。
仿真:
電路如下


仿真波形如下,上升時間和計算的一樣。


RC充電放電計算
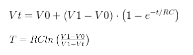
1、電容充電放電時間計算公式:


RC電路的時間常數:τ=RC
V0 為電容初始電壓值;
V1 為電容充滿電壓值;
Vt 為任意時刻的電壓值;
E 為電源電壓;
當t= 1RC時,電容電壓=0.63V1;
當t= 2RC時,電容電壓=0.86V1;
當t= 3RC時,電容電壓=0.90V1;
當t= 4RC時,電容電壓=0.98V1;
當t= 5RC時,電容電壓=0.99V1;
經過3~5個RC后,充電過程基本結束。
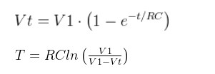
2、充電(電壓為E的電源通過R向初值為0的電容C充電,V0=0,V1=E,故充到t時刻電容上的電壓為)


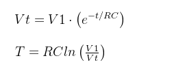
3、放電(初始電壓為E的電容C通過R放電 , V0=E,V1=0,故放到t時刻電容上的電壓為)

〈烜芯微/XXW〉專業制造二極管,三極管,MOS管,橋堆等,20年,工廠直銷省20%,上萬家電路電器生產企業選用,專業的工程師幫您穩定好每一批產品,如果您有遇到什么需要幫助解決的,可以直接聯系下方的聯系號碼或加QQ/微信,由我們的銷售經理給您精準的報價以及產品介紹

〈烜芯微/XXW〉專業制造二極管,三極管,MOS管,橋堆等,20年,工廠直銷省20%,上萬家電路電器生產企業選用,專業的工程師幫您穩定好每一批產品,如果您有遇到什么需要幫助解決的,可以直接聯系下方的聯系號碼或加QQ/微信,由我們的銷售經理給您精準的報價以及產品介紹
聯系號碼:18923864027(同微信)
QQ:709211280

