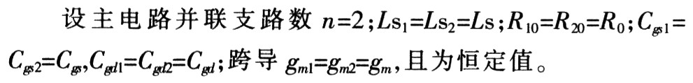
1 引言
MOSFET管的導通電阻具有正的溫度特性,可自動調節電流,因而易于并聯應用。但由于器件自身參數(柵極電路參數及漏源極電路參數不一致)原因,并聯應用功率MOSFET管會產生電流分配不均的問題,關于此問題,已有文獻進行過分析,這里進一步分析 MOSFET管并聯應用時導通電阻Ron、柵閾電壓UT、跨導Gm等自身參數及部分電路參數對靜態和動態電流分配的影響。
2 導通電阻Ron對靜態電流分配的影響
這里靜態是指器件開關過程已結束并進入穩定導通后的工作狀態。此時,由于導通電阻Ron具有正的溫度系數KT,可抑制電流分配不均的程度,但不能根本消除電流分配不均現象。實踐證明,當n只器件并聯時,若其中只有1只器件具有較小的導通電阻Ron,這時靜態電流不均現象最為嚴重。設較小導通電阻為R1,其余器件的導通電阻為R2,并設其結溫為Tj=25℃時的導通電阻分別為 R10和R20,而結溫Tj≠25℃時的導通電阻分別為R1T和R2T,則有:


式中,In為MOSFET管的漏極電流,RTj為PN結到管殼的熱電阻。
若負載電流為I0,當各器件不存在電流分配不均現象時,各管漏極電流平均值為:


式中為漏極電流的不均勻度為導通電阻的不匹配度;M=I2BR10RTjKT,稱為功率MOSFET管導通電阻的自主補償系數。
當并聯支路數n→∞時,式(6)可簡化為:
在式(7)、(8)中再分別令M=0和n→∞,則均可得到:
A=B (9)
圖2是以IRFP064為例,根據式(6)~(9)計算出的漏極電流不均勻度A與導通電阻均勻度B間的關系曲線(以n為參變量),可得出如下結論:(1) 并聯器件數n相同的每一組曲線,漏極電流不均勻度A隨自主補償系數M的增大而下降;(2)并聯器件數n相同的每一組曲線,兩條曲線間的差距隨n的增大而增大;(3)并聯器件數n相同的每組曲線,隨n的減小而降低;(4)并聯器件的靜態電流不匹配度A有最大值,即A=B。所以,降低并聯器件的電流不匹配度的最有效方法就是提高并聯器件導通電阻的匹配程度。


3 閾值電壓UT對動態電流分配的影響
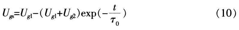
動態電流分配不均是指由于器件本身參數失配而使各并聯支路在開關過程中電流大小不一致的現象。原因很多,這里以圖3為例分析閾值電壓UT引起的電流分配不勻現象。




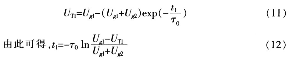
3.1 VT1、VT2均未導通時的柵極電壓,0→t1時段,iD1=iD2=0
柵極驅動信號由負半周進人正半周后,信號源Ug向兩管的柵極電容Cgs充電,即:



3.2 僅VT1管導通時的柵極電壓,t1~t2時段
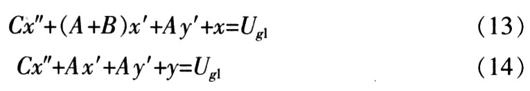
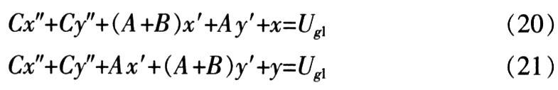
在t1~t2時間段內,iD1>0,iD2=0。對其整理,得到二階微分方程組:


式中,變量系數的數量級為A≈10-8,B≈10-5,C≈-10-13。下面分析中認為B>>A>>C。考慮t1~t2時間段變量x的初始條件,t=0時(即上一階段t=t1時);x=UT1;并選擇x'=0,并考慮微分方程中變量系數的數量級關系,得此微分方程組的解為:


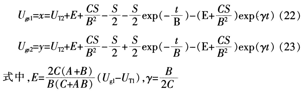
3.3 兩管均導通時的柵極電壓,時段t2~∞
在t2~∞時間段內,iD1>0,iD2>0根據圖3,可整理得出二階微分方程組為:


式中,C=2RgCgdgm(L0+LS),同上述略有差異,但這種差異對結果影響甚微,予以忽略。
考慮本時段變量),的初始條件,t=0時(即上一階段t=t2時),y=UT2;并選擇y'=y(t2),得此微分方程組的解為:


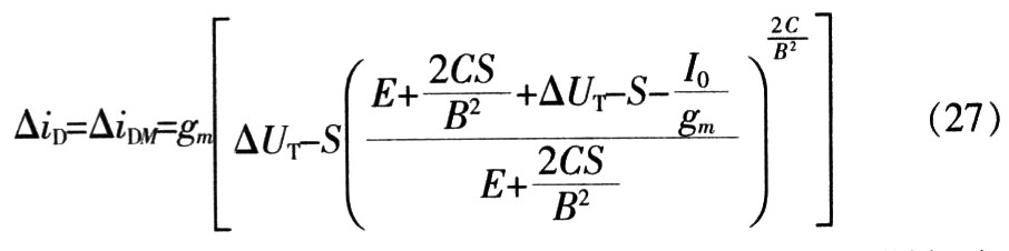
此時,兩個 極電流的差達到最大值,即:


式(26)~式(27)反映了并聯應用的功率MOSFET極電流分配不勻程度及其與器件參數、電路參數的關系,以上分析利用了近似關系式B> >A>>C,當不滿足該關系時,以上分由式(26)~(27)可以看出,兩漏極電流分配不均的程度與管子參數gm、UT1、UT2、 Cgs、Cgd和電路參數Rg、Ls、Lo等都有密切關系。根據場效應管IRFP064的典型參數及典型電路參數應用式(10)、(15)、(16)、 (22)、(23)得到曲線如圖4所示。當得到的漏極電流的不均勻程度及所需時間隨管子參數和電路參數的變化關系如圖5、圖6所示。




4 結束語
通過以上分析,要減小并聯應用的MOSFET管電流分配不勻的影響,當應用電路采用如圖3所示的控制方式時,可采取以下措施:(1)盡量選擇UT、gm、Ron等參數對稱的管子,這是最基本的方法;(2)適當引入源極電感Ls,這樣既可提高漏極電流iD 的均勻度,又不至于明顯增大上升時間;(3)在漏極電流如的上升時間滿足要求的情況下,盡量減小柵極電阻Rg;(4)通過合理安排元器件及合理布線,盡量減小漏極分布電感。
〈烜芯微/XXW〉專業制造二極管,三極管,MOS管,橋堆等,20年,工廠直銷省20%,上萬家電路電器生產企業選用,專業的工程師幫您穩定好每一批產品,如果您有遇到什么需要幫助解決的,可以直接聯系下方的聯系號碼或加QQ/微信,由我們的銷售經理給您精準的報價以及產品介紹
聯系號碼:18923864027(同微信)
QQ:709211280

